作者: 新能源日志锂电池 Dr. Xin
COMSOL一维等温锂离子电池数值模拟 | 电解质与电极材料

--本文共计约2995字,阅读时间约10分钟--
Comments
这篇论文通过COMSOL多物理场仿真软件,系统地模拟和比较了不同电解质(液态 vs. 固态聚合物)和正极材料(LFP, LCO等)对锂离子电池性能的影响,为设计更高效、更具针对性的电池提供了重要的理论指导。篇论文的研究思路非常有价值,它展示了如何通过精确的数值模拟,在研发初期就快速评估不同材料组合的电化学性能。这种“模型引导设计”的策略,能够大大缩短研发周期,帮助我们更快地为特定应用(例如,为电动汽车开发高能量密度电池,或为储能系统开发高安全性电池)找到最佳材料方案。
摘要
本研究利用COMSOL多物理场软件,建立了一个一维等温锂离子电池模型,系统探究了不同电解质(液态与固态)和电极材料对电池性能的影响。研究发现,采用聚合物电解质的电池,其电解质盐浓度范围通常高于液态电解质电池。在放电过程中,液态电解质电池展现出更高的电压。在正极材料方面,采用磷酸铁锂(LFP)的电池在放电结束时,其正极颗粒表面的锂浓度变化最大,而采用镍酸锂(LiNiO2)的电池变化最小。该模型为探索和设计具有更优性能的新型电解质与电极材料提供了有效工具。
引言
•研究背景: 随着全球能源消耗的增长,对高效储能技术的需求日益迫切 。锂离子电池因其高能量密度等优点,在军事、航空及消费电子产品等领域得到了广泛应用 。电池的性能主要由其核心组件——电极和电解质决定 。然而,如何选择和匹配这些材料以实现最优性能,例如在电解质中平衡离子电导率和粘度,或在正极材料中权衡能量密度与稳定性,是当前研究面临的关键挑战 。
•本文贡献:
o贡献一: 系统比较了两种聚合物电解质和四种液态电解质在锂离子电池中的电化学行为差异,重点分析了它们对电解质盐浓度分布和放电电压的影响 。
o贡献二: 深入评估了五种不同的正极材料(LCO, LMO, LFP, LiNiO2, NCA)对电池性能的影响,包括平均电极荷电状态(AESOC)、电极颗粒内部锂浓度分布以及不同倍率下的放电曲线 。
o贡献三: 建立并验证了一个一维仿真模型,该模型可作为一种高效的研发工具,用于预测和优化不同材料组合下的电池性能,为特定应用的电池设计提供理论依据 。
实验设计
•实验对象: 本研究采用数值模拟方法,其模型为一个一维几何构型的锂离子电池 。
o负极材料: 石墨(Graphite),化学式为LiC6 。
o正极材料: 基准模型采用锰酸锂(LMO, LiMn2O4),并与磷酸铁锂(LFP)、钴酸锂(LCO)、镍酸锂(LiNiO2)和镍钴铝酸锂(NCA)进行比较 。
o电解质: 基准模型采用在EC:DMC(碳酸乙烯酯:碳酸二甲酯)溶剂中的2M LiPF6(六氟磷酸锂)盐,并使用PVDF-HFP(聚偏氟乙烯-六氟丙烯)作为聚合物基体 。
o几何尺寸: 负极厚度为10−4 m,隔膜(电解质)厚度为0.52×10−4 m,正极厚度为1.74×10−4 m 。
•测试条件:
o温度: 整个模拟过程在恒温(Isothermal)条件下进行,设定温度为298 K(25 °C) 。
o充放电程序: 模拟的负载循环包括:首先以17.5A/m2的电流密度放电2000秒,然后静置(开路)300秒,接着以相同电流密度充电2000秒,最后再次静置直到8000秒结束 。
oC-rate(充放电倍率): 对模型在0.1C, 0.5C, 1C, 2C, 3C等多个不同C-rate下进行了放电模拟和对比 。
研究方法
•核心思路/总体框架:
本文的核心技术路线是,在COMSOL Multiphysics 6.0软件平台上,构建一个基于电化学理论的一维等温锂离子电池模型 。通过系统性地替换模型中的电解质和正极材料参数,模拟并对比它们在相同充放电条件下的电化学响应,从而揭示材料特性对电池宏观性能的影响规律。
•关键模型/理论基础:
o多孔电极理论(Porous Electrode Theory): 该模型基于描述多孔电极内部复杂电化学过程的数学方程。这些方程描述了电荷和质量的守恒定律 。
o质量守恒: 通过$\nabla\cdot J_{l}=R_{l}$描述电解液中锂离子的通量(Jl)变化,它由扩散和电迁移共同驱动 。
o电荷守恒: 通过$\nabla\cdot i_{l}=Q_{l}和\nabla\cdot i_{s}=Q_{s}$分别描述电解液相(液相)和电极相(固相)的电流密度(il, is)分布,确保整个体系的电中性 。
o电化学反应动力学: 采用巴特勒-福尔默(Butler-Volmer)方程(文中未直接写出,但为该类模型的基础)来描述电极/电解质界面上电化学反应速率与过电位(η,即实际电位与平衡电位之差)之间的关系 。这决定了电池在充放电过程中的电流大小。
结果与讨论
- 图表核心内容

Figure 5 & Table 1: 该图表展示了六种不同电解质在充放电过程中,电池内部(负极、隔膜、正极)的锂盐浓度分布。结果表明,采用聚合物电解质的电池(A, B)相比大多数液态电解质电池,其内部的盐浓度梯度变化范围更大 。

Figure 6 & Table 2: 该图表对比了聚合物电解质与液态电解质电池在五种不同放电倍率下的放电曲线(电压-容量关系)。结果显示,在所有倍率下,使用液态电解质的电池均表现出比聚合物电解质电池略高的工作电压 。

Figure 7 & Table 3: 该图表展示了采用五种不同正极材料的电池,在1C倍率下充放电时,正负极的平均荷电状态(AESOC)随时间的变化。结果发现,LFP正极(图C)在放电期间的AESOC增幅最大(0.33),而LCO正极(图A)的增幅最小(0.121) 。

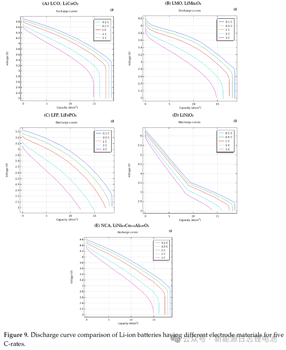
Figure 9 & Table 5: 该图表对比了五种不同正极材料在不同倍率下的放电曲线。结果清晰地表明,LiNiO2具有最高的初始放电电压,但电压下降最快;而LFP的初始电压最低,但其放电平台最为平坦,电压稳定性最好 。
•主要发现:
o电解质影响: 液态电解质电池的放电电压略高于聚合物电解质电池 。聚合物电解质会导致更大的电解质盐浓度变化范围 。
o正极材料对电压特性的影响: 不同正极材料的电压特性差异显著。LiNiO2初始电压最高(约6.22V @ 1C),但电压衰减最快;LFP电压最低(约3.22V @ 1C),但稳定性极佳,电压差仅为0.9V 。LCO在放电末期的电压保持能力最好 。
o正极材料对锂浓度分布的影响: 在放电结束时,LFP正极颗粒表面的锂浓度变化量最大 (9122 mol/m3),表明其内部锂离子嵌入/脱出过程中的浓度梯度更大 。相比之下,LiNiO2的浓度变化最小 (123 mol/m3) 。
•作者的解读: 作者认为,这些模拟结果揭示了电池性能与材料选择之间的内在联系,为电池设计者提供了关键的参考信息 。例如,电解质的选择会影响电池的效率和工作稳定性 。正极材料的选择则直接决定了电池的能量密度、功率特性和循环寿命。对于追求高能量密度的应用(如电动汽车),LiNiO2和NCA是理想选择 ;而对于注重安全性、稳定性和长寿命的应用,LFP则是最合适的材料 。
结论
- •核心结论: 本研究通过一维数值模拟系统地评估了不同电解质与电极材料对锂离子电池性能的影响。结论明确指出:
- 1.与聚合物电解质相比,液态电解质能在放电过程中提供约0.05V的电压优势 。
- 2.正极材料的物理化学性质(如参考浓度和密度)显著影响电池的荷电状态变化和内部锂浓度梯度;LFP在放电时表现出最大的锂浓度变化,而LiNiO2变化最小 。
- 3.在电压特性方面,LiNiO2具有最高的初始电压和最大的电压差(3.58V),而LFP则以其极低的电压差(0.9V)展现出卓越的电压稳定性 。这些发现为根据特定应用需求选择最优材料组合提供了量化依据。
展望
•可以改进的地方: 文献中未明确提及。
•下一步的方向: 作者指出,本研究中建立和验证的模型可以作为一个强大的工具,用于探索更多创新的电解质和电极材料,从而进一步改进锂离子电池的设计 。通过理解材料选择与电化学性能之间的关系,设计者可以做出更明智的决策,最终开发出更高效、更可靠且针对特定应用的锂离子电池 。
文献详细信息
•原文标题: Numerical Modelling of 1d Isothermal Lithium-Ion Battery with Varied Electrolyte and Electrode Materials
•发表日期: 2025年6月
•期刊/来源: Energies
•DOI链接: https://doi.org/10.3390/en18133288
本文所分享的原文内容来源于网络。原文著作权归原作者所有,仅为分享优质内容目的转发,学习与讨论,未用于商业盈利,若有侵权请联系删除。
原文获取:https://my.firsource.cn/resource_detail.php?id=176